CUET UG Results 2022: The National Testing Agency is expected to release the CUET UG 2022 Results on the official website tomorrow. The agency conducted the CUET 2022 examinations for the admissions to the undergraduate programmes offered in the central universities across the country. Students who have appeared for the exams will now be able to check their results by tomorrow on the official website of CUET.
The National Testing Agency has released a notification on the normalization of the marks for the CUET UG 2022 Results. Students can check how to compare the scores of the same exam which were conducted on different dates. Admissions to the UG courses will be conducted through the CUET scores secured by the students.
Reasoning for Normalization of Marks
CUET UG 2022 examinations were conducted in six phases for students in July-August 2022. Since the examination was conducted for multiple subjects the marking scheme needs to be such which considers the scores of the students for admissions.
The ‘Equipercentile Method’ has been introduced as a method where percentile for each candidate is calculated using Raw Marks of the candidate compared to Raw Marks of others in the others in the same session.
This will be done for every session across the six sessions and these percentiles will then be equated and converted into normalized marks. In case of sessions with smaller numbers of candidates these will be clubbed with bigger sessions.
How Normalization of Marks will be carried out
Procedure to be adopted for compilation of NORMALIZED SCORES for multisession Papers
Check the steps for Normalization of Marks for CUET Results 2022 Here
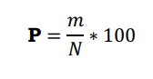
Step1: Convert raw scores into percentile scores
The percentiles are calculated separately for each shift.
It will record the number of candidates who have appeared in a single shift and sort all the candidates in one shift in decreasing order of their marks.
Note the raw marks for each candidate and the percentile score for this candidate is then calculated.

N= number of students in a single shift
T= Raw Marks
m= number of students whose raw marks in a shift are less than or equal to T
Example based on six students in 2 shifts

Raw score=X
Percentile=P
Step 2: Pull-back of the percentiles to the marks scale for each session to get Normalized Score
The data collected across all sessions in Step 1 is put into a single table with the shift wise raw score kept separate. These are then sorted in decreasing order of percentile.

Step 3: Calculation of the Normalized Score

Students who have appeared for the CUET 2022 examinations can check the detailed formula for the Normalization of scores for the examinations on the PDF document provided on the website.
Also Read: CUET Result 2022: When Will NTA Release CUET UG Scorecard? Check Latest Updates Here

Comments
All Comments (0)
Join the conversation